Skip to content

Loosely coupled mvp monolith over the digital image processing domain. 32bpp argb only. Also provides a cross-platform engine to run console, static or xaml/xml-based forms.

License

Notifications You must be signed in to change notification settings

dudinda/Image-Processing

Repository files navigation

Image Processing

Microkernel Guide&Demo for WPF (SDI), Winforms (MDI/SDI/TDI) and Console processes

Build Status Nuget Nuget Nuget

  1. Thesis
  2. Solutions
  3. Benchmarks
  4. NuGet

Thesis

The application was originally developed as an R&D work.

The original purpose was to research the possible advantages of grayscale images contrast optimization using a normal distribution regarding a uniform distribution. Two parameters such as the expectation and std allow to control relative luminance and contrast, respectively.

application window

Fig. 1 - The main view and transient/signleton views as tabs. The opened affine transformation tab is a transient view. The settings tab is a singleton view. The frame is taken from "Thomas the Tank Engine" series and processed with the Grayscale->Inversion->Laplacian Operator 5x5->Inversion->Shear Rotation 20°->Bicubic Interpolation (0.2, 0.2)->Cyclic Translation (33, 33) (hold) [cpu] algorithm chain.



Initially, for experimental purposes was chosen a group of underexposed images.

original underexposed image

Fig. 2 - The original underexposed image.

After an optimization with a uniform distribution, there is a redundancy in bright areas of relative luminance. However, using a normal distribution it's possible to minimize this effect, achieving better details’ distinctiveness.

image transformed by uniform distribution

Fig. 3 - The histogram transformation by a uniform distribution.

An image transformed by a normal distribution with the expectation = 90 and std = 60

Fig. 4 - The histogram transformation by a normal distribution where µ = 90 and σ = 60.

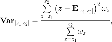
To justify which image is better, regarding its contrast, one may use the definition of conditional variance:

where [z1, z2] is an interval of relative luminance.

Splitting the interval [0, 255] to 16 subintervals we may now use the definition above. Since we define contrast as statistical scattering, the definition of conditional variance may show the level of contrast on each specified interval.

application window

Fig. 5 - Using the definition of conditional variance on 16 intervals of relative luminance.

Thus, one may conclude that a normal distribution may represent better result regarding a uniform distribution on a group of underexposed images.

Architecture

architecture

Fig. 6 - The process architecture.

metrics

Fig. 7 - The process code metrics.


Benchmarks [CPU]

RGB Filters

Convolution


NuGet

ImageProcessing.Microkernel.DIAdapter

ImageProcessing.Microkernel.MVP

ImageProcessing.Microkernel.EntryPoint